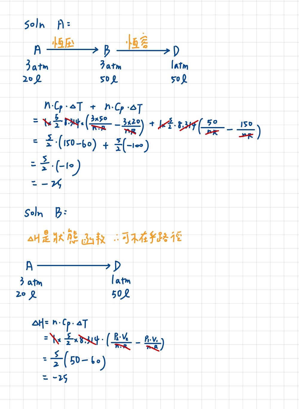
32. 1.00 mol 之單原子理想氣體(monatomic ideal gas),由以下途徑生成之 ΔH_ABD 值為何?
A (3.00 atm, 20.0 L) → B (3.00 atm, 50.0 L) → D (1.00 atm, 50.0 L)
(A)-475 L•atm
(B)-25L•atm
(C)25L•atm
(D)475L•atm
答案:登入後查看
統計: A(23), B(265), C(48), D(18), E(0) #1382571
統計: A(23), B(265), C(48), D(18), E(0) #1382571
詳解 (共 3 筆)
#4898319
因ΔH為狀態函數,所以ΔHABD = ΔHAD
因理想氣體的Cp = 2.5R:
ΔH = n * Cp * ΔT = n * 2.5R * ΔT = 2.5Δ(nRT)
因理想氣體適用 PV = nRT:
2.5Δ(nRT) = 2.5Δ(PV) = 2.5(PDVD - PAVA) = 2.5(1*50 - 3*20) = -25
40
0
#7190393

4
0