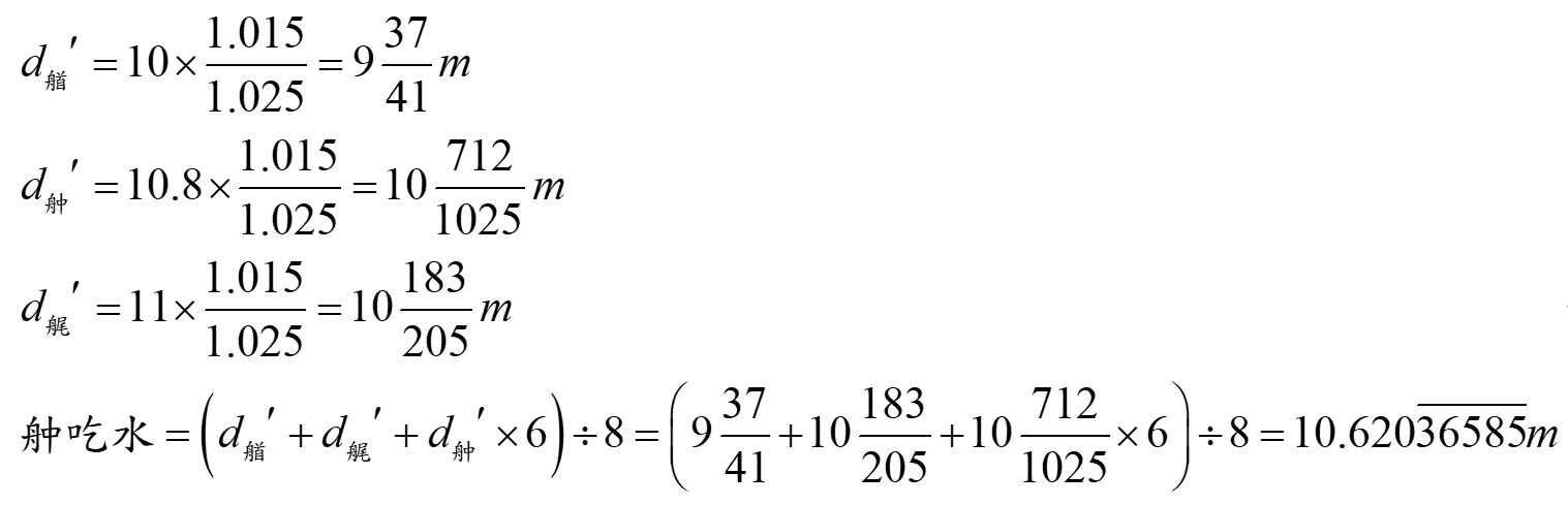
33. 某船在漢堡港(海水密度為1.015公噸/立方公尺)裝完貨時,觀測之艏吃水為10.0公尺,舯吃水10.8公尺,艉吃水為11.0公尺。求此船在標準海水密度下之舯吃水?
(A) 10.42公尺
(B) 10.52公尺
(C) 10.62公尺
(D) 10.72公尺
答案:登入後查看
統計: A(4), B(7), C(12), D(8), E(0) #3833547
統計: A(4), B(7), C(12), D(8), E(0) #3833547
詳解 (共 1 筆)
#7312351

1
0