36.利用液相層析質譜儀進行某蛋白質之分析得到質譜圖如下,則其分子量最接近下列何者?
(A)8000 Da
(B)12000 Da
(C)16000 Da
(D)20000 Da
答案:登入後查看
統計: A(333), B(2842), C(466), D(251), E(0) #3198854
統計: A(333), B(2842), C(466), D(251), E(0) #3198854
詳解 (共 7 筆)
#6116804
【題組】
40.承上題,該蛋白質的質譜圖如下,則其分子量最接近下列何者?

(A)8,000 Da
(B)12,000 Da
(C)16,000 Da
(D)20,000 Da
8
1
#6358132
The charges n on the ions within the ESI spectrum想知道某個訊號峰帶電量
n = (欲知訊號峰質荷比-1)/(欲知訊號峰質荷比-下一個更小的質荷比)
再n*欲知訊號峰質荷比=分子量
此題我取質荷比最大的峰
n=(1122.3-1)/(1122.3-1020.5)
(1122.3-1)/(1122.3-1020.5)*1122.3=12361.8368369
7
0
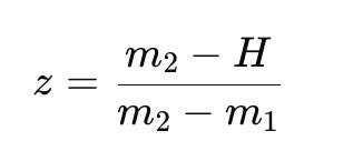
#7309205
1.找相鄰兩個峰
圖中明顯相鄰峰:
-
680.8
-
720.8
通常:
-
680.8 → z
-
720.8 → z−1
因為 charge 越大 → m/z 越小
2.先求電荷數 z(如果題目有給例如106-2-40就不用啦)
公式:

代入:

3.求蛋白質分子量 M

2
0