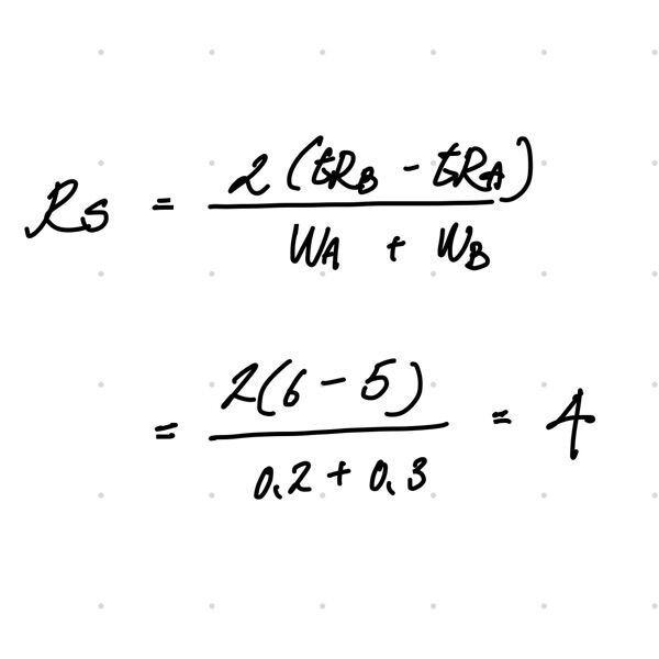
37.化合物A與B於15公分長之管柱進行分離,其滯留時間分別為tA=5 min、tB=6 min,波峰寬度分別為WA=0.2 min、WB=0.3 min,則解析度(resolution, R s)為何?
(A)2
(B)4
(C)20
(D)44
答案:登入後查看
統計: A(120), B(804), C(141), D(49), E(0) #3488305
統計: A(120), B(804), C(141), D(49), E(0) #3488305
詳解 (共 4 筆)
#6559349

18
1
#6619236
2*(6-5)/(0.2+0.3)=4 選(B)

參考自阿摩學長姐
ㅤㅤ
2
0