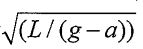
4. A simple pendulum is suspended from the ceiling of an elevator. The elevator is accelerating upwards with acceleration a. The period of this pendulum, in terms of its length L, g, and a is:
(A)2π
(B)2π
(C)2π
(D)2π
(E)(1/2π)
答案:登入後查看
統計: 尚無統計資料
統計: 尚無統計資料