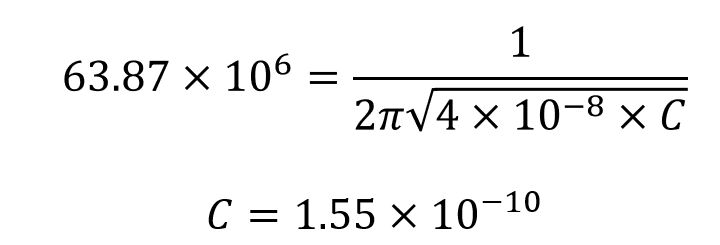
40.在1.5T磁場下針對體內氫原子進行共振,若射頻線圈內含有電感為4 ×10-8 亨利(Henry),則線圈內要加入約多少法拉(Farad)的電容?
(A)6.34 ×10-6
(B)2.64 ×10-8
(C)1.55 ×10-10
(D)1.22 ×10-12
答案:登入後查看
統計: A(80), B(124), C(157), D(36), E(0) #3492108
統計: A(80), B(124), C(157), D(36), E(0) #3492108
詳解 (共 1 筆)
#6593986

ㅤㅤ
在1.5 T磁場下,體內氫原子的共振頻率是63.87 MHz

選(C) 1.55 ×10-10
ㅤㅤ
請問我們看起來像是電機系的嗎...
ㅤㅤ
有興趣的話可以點進去看一下LC並聯諧振的簡單介紹
28
0