42 下列有關藥用植物蘆薈之敘述,何者錯誤?
(A)Aloe Vera gel 可用於燒傷、燙傷、X-射線傷害
(B)Aloe Vera gel 之有效成分存在於新鮮葉之黏液質
(C)Aloe 之瀉下成分取自葉汁
(D)Aloe 之主要成分為 dianthrone 之配糖體
答案:登入後查看
統計: A(62), B(101), C(637), D(2761), E(0) #411473
統計: A(62), B(101), C(637), D(2761), E(0) #411473
詳解 (共 6 筆)
#896436
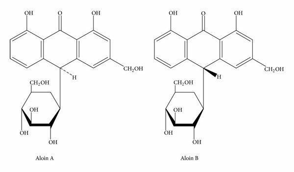
(D)Aloe 之主要成分為Barbaloin (Aloin A , B)
81
0
#2318254
只有Senna是 dianthrone
67
1
#893727
(D)Senna之主要成分為 dianthrone 之配糖體
41
1
#5140696
Anthraquinone Glycoside
Aloe 蘆薈:Aloe barbadensis【Liliaceae百合科 - 葉片乾燥乳液 Latix】
> C-Glycoside:Aloin A(Barbaloin)C10→R;Aloin B(Barbaloin)C10→S
> 水溶性抽取物不少於50%
> 複方安息香酊(Aloe、Benzoic、Storax、Tolu balsam)-祛痰劑;(強烈)瀉下
Aloe Vera Gel 蘆薈膠:Aloe barbadensis【Liliaceae百合科 - 新鮮黏液狀膠】
> Aloin
> 使細胞增生&傷口愈合治療;曬傷、高溫燙傷、輻射灼傷
10
0
#4018410

3
0