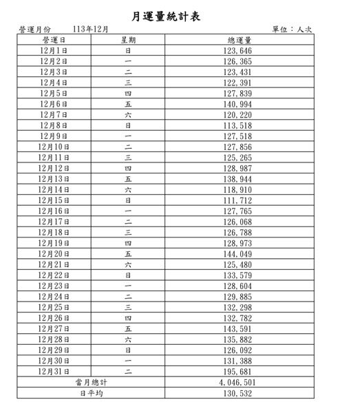
42. 桃園捷運 113 年最高之月平均日運量為多少?
(A) 113,774 人次
(B) 130,532 人次
(C)143,591 人次
(D) 195,681 人次。
答案:登入後查看
統計: A(19), B(128), C(65), D(25), E(0) #3418533
統計: A(19), B(128), C(65), D(25), E(0) #3418533
詳解 (共 1 筆)
#6524262

1
0