46.下列何種生藥中所含的蒽醌苷(anthraquinone glycoside)主成分,其結構不含羧基(carboxyl)?
(A)cochineal
(B)senna
(C)rhubarb
(D)cascara sagrada
答案:登入後查看
統計: A(1576), B(1043), C(781), D(2261), E(0) #2969530
統計: A(1576), B(1043), C(781), D(2261), E(0) #2969530
詳解 (共 7 筆)
#6531401
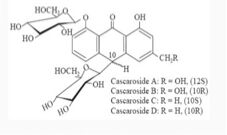
Aloin跟Cascaroside都沒有COOH
3
0
#6023066
8O,10-glucose
8O,10connect Rhein-dianthrone

6-rhamose 9,10-dione(10沒接東西)
3
0