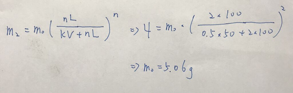
5. 以異丙醚萃取100L水溶液中的有機物,此有機物對異丙醚和水的分配係數為0.5,若先
以25L的異丙醚萃取,接著再以等體積的異丙醚萃取前次萃餘液,假設溶液體積變化可
忽略,最終萃取後的水溶液含有此有機物4g,則原來100 L水溶液中含此有機物多少g?
(A)4
(B)4.55
(C)5.06
(D)6.075。
答案:登入後查看
統計: A(0), B(2), C(6), D(0), E(0) #2923446
統計: A(0), B(2), C(6), D(0), E(0) #2923446
詳解 (共 1 筆)
#5686594

0
0