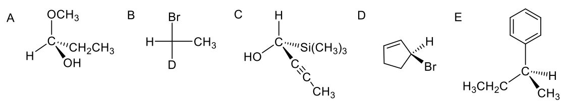
5. 化合物 A 至 E 具有對掌性碳原子(chiral carbon),哪個選項所標示的絕對組態 (absolute configuration)完全正確?
(A) A = S, B = R, C = S, D = S, E = S
(B) A = S, B = S, C = R, D = S, E = R
(C) A = R, B = S, C = S, D = R, E = S
(D) A = S, B = S, C = S, D = S, E = S
答案:登入後查看
統計: A(0), B(2), C(1), D(5), E(0) #3865158
統計: A(0), B(2), C(1), D(5), E(0) #3865158