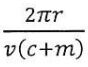
5. An ant of mass m rests on a stationary wheel of radius r with inertia I = cr2 before moving counterclockwise with speed v. If the rotational friction of the wheel is negligible, how much angle does the wheel turn when the ant passes its original spot on the wheel for the first time?
(A) 
(B)
(C)
(D) 
答案:登入後查看
統計: 尚無統計資料
統計: 尚無統計資料