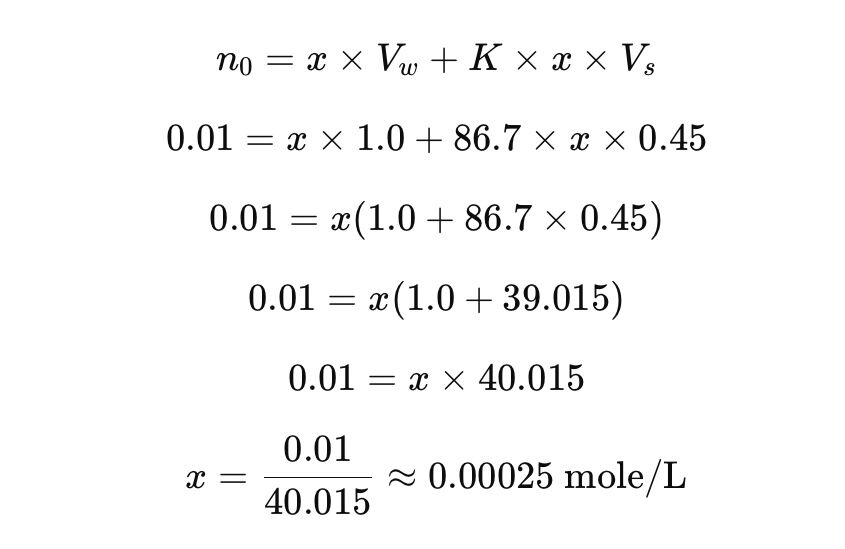
50.有一單級萃取器在 25 ℃下操作,以四氯化碳為溶劑來萃取廢水中的碘。假設每公升廢水
含有 0.01mole 碘,碘在四氯化碳與水之分配係數為 86.7。若以 0.45 公升四氯化碳來萃取1.0 公升廢水,則每公升萃餘水中含有多少 mole 碘?
(A)1.5×10-4
(B)2×10-4
(C) 2.5×10-4
(D) 3×10-4
答案:登入後查看
統計: A(1), B(9), C(98), D(2), E(0) #815267
統計: A(1), B(9), C(98), D(2), E(0) #815267
詳解 (共 1 筆)
#6105686

0
0