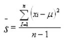
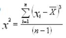
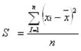
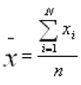
52. 在品質管理中,下列何者為樣本算術平均數?
(A)
(B)
(C)
(D)
。
答案:登入後查看
統計: 尚無統計資料
統計: 尚無統計資料