阿摩線上測驗
登入
首頁
>
教甄◆數學
>
112年 - 112 高雄市市立國民小學教師聯合甄選_一般類-普通科目:數學#115046
> 試題詳解
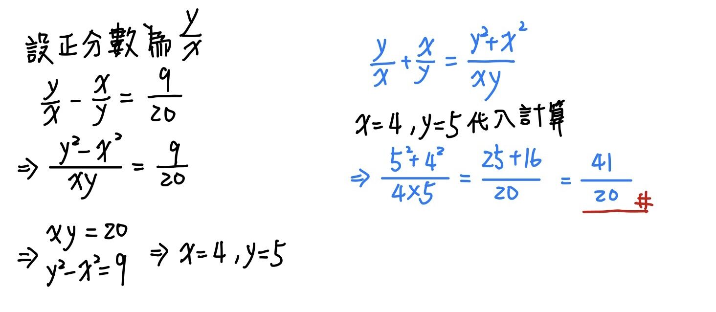
52. 有一個正分數與它的倒數之差為
,請問這個分數與它的倒數之和是什麼?
(A)
(B)
(C)
(D)
答案:
登入後查看
統計:
A(92), B(52), C(75), D(667), E(0) #3121460
詳解 (共 5 筆)
(=´ᴥ`)
B4 · 2023/07/07
#5873667
22
0
PH
B5 · 2023/09/09
#5928006
20
0
衝衝衝!!一起上岸
B2 · 2023/07/01
#5865038
(共 1 字,隱藏中)
前往觀看
18
1
歐陽無敵
B1 · 2023/06/30
#5863558
設正分數為 B/A,倒數則為A/BB/A...
(共 245 字,隱藏中)
前往觀看
12
0
Chen Chen
B3 · 2023/07/03
#5867687
9
0
相關試題
41. 已知圓 A 的面積是圓 B 的 9 倍,則圓 A 的周長是圓 B 周長的幾倍? (A)3 (B)6 (C)9 (D)18
#3121449
42. 將 44 公升的水倒入一個水桶,此時恰為全滿時的,若再以每分鐘 1 公升的水倒入該水桶,則幾分鐘後該水桶可裝滿水? (A)8 (B)9 (C)10 (D)11
#3121450
43. 在一條長 900 公尺的街道一邊,每隔 15 公尺置一個藝術品,且每隔9 公尺種一棵花,若街道的兩端同時置藝術品及種花,試問街道一邊共有幾處會同時有藝術品及花? (A)18 (B)19 (C)20 (D)21
#3121451
44. 小明買一個定價 2000 元的玩具,現此玩具打 65 折促銷,若付現金可再享購 買價少 2%的優惠,小明付現金買此玩具,則他該付多少元? (A)1254 (B)1264 (C)1274 (D)1284
#3121452
45. 一斤糖果與一斤豬肉的價格比為 2:7,小明各買 3 斤共花 900 元,若小明要 買 6 斤豬肉則要花多少元? (A)1400 (B)1500 (C)1600 (D)1700
#3121453
46. 假設有一警衛室每小時要有 3 個人值勤,今有警衛 4 人,他們從今天下午 6 時到明天早上 6 時輪流值勤,請問這段時間每個警衛平均休息幾小時(即不 用值勤時間)? (A)2 (B)3 (C)4 (D)5
#3121454
47. 正整數 n 與 18 的最小公倍數是 180,而 n 和 45 的最大公因數是 15,則 n 的 各個位數字總和為何? (A)6 (B)8 (C)9 (D)12
#3121455
48. 有兩個正整數的和為 17402,其中一個數可被 10 整除,若擦掉這個數的個 位數字則恰等於另一個數,求這兩個正整數之差為多少? (A)15426 (B)14238 (C)13362 (D)11700
#3121456
49. 大華和小民是同一天生日,兩人相差 n 歲,去年大華的年齡恰好是小民年齡 的 5 倍,而今年大華的年齡數字又恰好是小民年齡數字的平方。請問 n=? (A)15 (B)12 (C)9 (D)3
#3121457
50. 小明有兩個大小不一樣的玻璃杯,第一個玻璃杯中裝滿了 杯的蒸餾水,而第二個玻璃杯是空的;小明將第一杯中的蒸餾水全部倒入第二個玻璃杯中, 發現可以到達第二杯的滿。試問第一個玻璃杯體積比第二玻璃杯體積的比值為何? (A) (B) (C)(D)
#3121458
相關試卷
115年 - 115 桃園市立陽明高中_教師甄選試題:數學科#139018
2026 年 · #139018
115年 - 115 國立高科實驗高級中等學校_專任教師甄選_國小部:普通科(數學)#138942
2026 年 · #138942
115年 - 115-1 國立彰化女子高級中學_教師甄選試題:數學科#138761
2026 年 · #138761
115年 - 115-1 臺中市立文華高級中等學校_教師甄選專業知能試題:數學科#138727
2026 年 · #138727
115年 - 115-2 台北市立建國高級中學_正式教師甄選試題:數學科#138704
2026 年 · #138704
115年 - 115-1 國立嘉科實驗高級中學_教師甄選試題_國中部:數學科#138695
2026 年 · #138695
115年 - 115-1 臺北市立中正高級中學_專任教師甄選初試試題:數學科#138690
2026 年 · #138690
115年 - 115-1 國立羅東高中_教師甄選初試︰數學科#138675
2026 年 · #138675
115年 - 115-1 臺南市立沙崙國際高級中學高中部_教師甄選試題:數學科#138673
2026 年 · #138673
115年 - 115-1 國立蘭陽女子高級中學_教師甄選試題︰數學科#138666
2026 年 · #138666