阿摩線上測驗
登入
首頁
>
藥物化學與生藥學
>
90年 - 90 專技高考_藥師:藥物化學與生藥學#24691
> 試題詳解
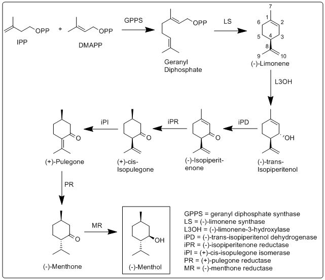
56 薄荷油主成分Menthol之生合成是由Geranyl pyrophosphate(GPP)環化而得,環化後的第一個中間體為:
(A) Carvone
(B) Limonene
(C) Menthone
(D) Isopulegone
答案:
登入後查看
統計:
A(18), B(55), C(22), D(29), E(0) #921249
詳解 (共 2 筆)
sdp
B2 · 2020/07/08
#4126306
methol為單萜在講menthol生合...
(共 361 字,隱藏中)
前往觀看
5
0
.
B2 · 2026/03/11
#7313951
0
0
相關試題
57.薄荷物種(peppermint-type species)的主要成分,由中間產物 (–)- (4 S )-limonene(如下圖)的那一 個碳原子上進行羥基化反應(hydroxylation)後衍生而來?(A)C-2 (B)C-3 (C)C-5 (D)C-6
#3198875
77.精油、基原植物與其所屬科別之配對,下列何者正確? (A)Cinnamon oil-Cinnamomum cassia-Lauraceae (B)Fennel oil-Foeniculum vulgare-Araliaceae (C)Peppermint oil-Mentha piperita-Piperaceae (D)Turpentine oil-Pinus palustris-Taxaceae
#2969561
57.下列何者為Betula lenta樹皮之主成分? (A)methyl salicylate (B)pinene (C)thymol (D)eugenol
#2969541
51.下列揮發油與其主成分之配對,何者錯誤? (A)clove oil-eugenol (B)nutmeg oil-terpinene (C)peppermint oil-menthol (D)cassia oil-cinnamic aldehyde
#3198869
53.下列關於樟腦(camphor)之敘述,何者錯誤? (A)為醇類化合物 (B)天然產者為右旋性 (C)pinene可為合成camphor之原料 (D)為局部止癢劑
#3198871
57 薑的特有刺激性味道,主要來自其所含之那一類物質? (A) Resins (B) Oleoresins (C) Lipids (D) Volatile oils
#921250
58 β-carotene由幾個isoprene組成? (A) 4個 (B) 6個 (C) 8個 (D) 10個
#921251
59 得自Taxus brevifolia之Taxol或Paclitaxel屬於那一類成分? (A) Monoterpenoid (B) Sesquiterpenoid (C) Diterpenoid (D) Triterpenoid
#921252
60 Ginkgolides在化學上歸屬於那一類結構? (A) Monoterpenoids (B) Sesquiterpenoids (C) Diterpenoids (D) Triterpenoids
#921253
61 下列何種Lignan型成分具有引起單股DNA斷裂,但不會有抑制Microtubule assembly之毒性? (A) Podophyllotoxin (B) α-peltatin (C) β-peltatin (D) etoposide
#921254
相關試卷
97年 - 97-1 專技高考_藥師:藥物化學與生藥學#10040
2008 年 · #10040
96年 - 96 專利商標審查特種考試_三等_藥事:藥物化學與生藥學#50546
2007 年 · #50546
96年 - 96-1 專技高考_藥師:藥物化學與生藥學#10044
2007 年 · #10044
96年 - 96-2 專技高考_藥師:藥物化學與生藥學#10042
2007 年 · #10042
95年 - 95-2 專技高考_藥師:藥物化學與生藥學#9981
2006 年 · #9981
95年 - 95-1 專技高考_藥師:藥物化學與生藥學#9945
2006 年 · #9945
94年 - 94-2 高等考試_三級_公職藥師:藥物化學與生藥學#17578
2005 年 · #17578
94年 - 94-1 高等考試_三級_公職藥師:專業知識測驗(藥物化學與生藥學、藥物分析)#17577
2005 年 · #17577
94年 - 94-2 專技高考_藥師:藥物化學與生藥學#11035
2005 年 · #11035
94年 - 94-1 專技高考_藥師:藥物化學與生藥學#10937
2005 年 · #10937