阿摩線上測驗
登入
首頁
>
專技 - 藥物治療學
>
102年 - 102-1 專技高考_藥師:藥物治療學#9864
> 試題詳解
試題詳解
試卷:
102年 - 102-1 專技高考_藥師:藥物治療學#9864 |
科目:
專技 - 藥物治療學
試卷資訊
試卷名稱:
102年 - 102-1 專技高考_藥師:藥物治療學#9864
年份:
102年
科目:
專技 - 藥物治療學
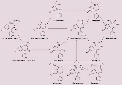
56.病人的失眠及焦慮問題,如醫師考慮處方沒有活性代謝物的benzodiazepine類藥品,則下列何者最適合?
(A)Clorazepate
(B)Diazepam
(C)Lorazepam
(D)Chlordiazepoxide
正確答案:
登入後查看
詳解 (共 6 筆)
H.T. Liu
B9 · 2019/07/07
推薦的詳解#3466926
未解鎖
腎排:Oxazepam、Lorazepa...
(共 249 字,隱藏中)
前往觀看
25
1
ppp33342666
B4 · 2017/06/07
推薦的詳解#2250140
未解鎖
OL太忙熬夜 , 肝臟都沒休息(代謝)
(共 21 字,隱藏中)
前往觀看
21
0
兔獅子
B8 · 2019/06/18
推薦的詳解#3421647
未解鎖
(A)Clorazepate 用於抗焦慮...
(共 69 字,隱藏中)
前往觀看
11
1
Darren
B5 · 2017/07/12
推薦的詳解#2330689
未解鎖
不經肝代謝,無活性代謝物
(共 14 字,隱藏中)
前往觀看
10
0
我是你的北醫前女友
B12 · 2021/06/04
推薦的詳解#4774693
未解鎖
精美表格給寶貝貝們 *沒有活性代謝物的...
(共 190 字,隱藏中)
前往觀看
8
1
小肥
B10 · 2019/07/09
推薦的詳解#3470389
未解鎖
樓上上的解析有錯喔,Diazepam跟L...
(共 59 字,隱藏中)
前往觀看
1
0