60 對於高壓變壓機(high voltage transformer)的描述,下列何者錯誤?
(A)使用輸入功率=輸出功率的原理
(B)次級電壓的表示 kVp 為電壓波高值的大小單位
(C)高壓變壓機有使高壓漣波率減小的能力
(D)控制台之管電流計的指示電源來自高壓變壓機二次線圈中點

答案:登入後查看
統計: A(20), B(12), C(49), D(33), E(0) #1114825

詳解 (共 3 筆)

#4044428
Autotransformer law:...

(共 222 字,隱藏中)
前往觀看
1
0
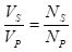
#3463053

解釋:

     Autotransformer law:

    5d1f16012dc66.jpg#s-66,48

     Vp= the primary voltage

     Vs= the secondary voltage

     Np= the number of windings enclosed bynprimary connections

     Ns= the number of windings enclosed bynsecond connections

出處:

     Radiologic science for technologists. P.109


0
0
#2906607
漣波是由整流器決定的
(共 12 字,隱藏中)
前往觀看
0
0