66.關於中藥紫草之敘述,何者錯誤?
(A)基原植物之一為Lithospermum erythrorhizon
(B)具解熱鎮痛及抗發炎作用,可治水火燙傷
(C)基原之科別為Boraginaceae植物
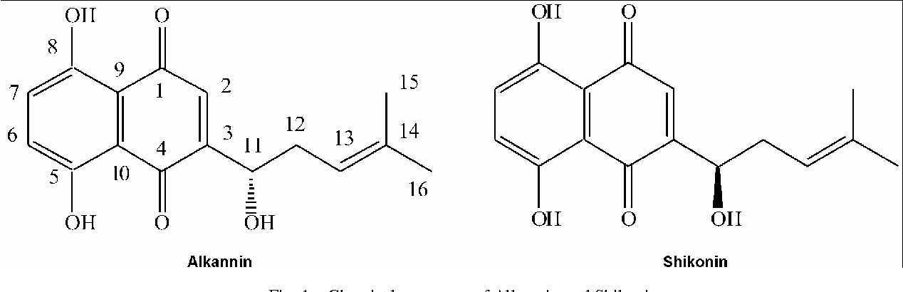
(D)shikonin與alkannin在構造上屬diastereomer
答案:登入後查看
統計: A(1016), B(475), C(1706), D(4801), E(0) #2037608
統計: A(1016), B(475), C(1706), D(4801), E(0) #2037608
詳解 (共 10 筆)
#4841321
紫草 Lithospermum erythrorhizon(基源) Boraginaceae(紫草科) Naphthoquinone 、Shikonin
紫色 Superman 救 地球(earth) 很無聊boring 要有 耐 性
37
0
#4442898
Naphthoquinone :紫草、蘇木(豆科)
26
2
#4122537
7F 算鏡像喔 它只有一個chiral center (C11)
Ref: A new method for isolation of natural colourant, shikalkin from Arnebia nobilis Reichb.f. roots Fig. 1—Chemical structures of Alkannin and Shikonin https://www.semanticscholar.org/paper/A-new-method-for-isolation-of-natural-colourant%2C-Ferreira-Laddha/8e0cd2536a786b7b594f2d1c02a63a949a73b992
19
0
#4117062
應該算是鏡像異構物嗎?(不是很確定),非鏡像異構物才是diastereomer
14
1
#4104221
shikonin與alkannin 不算epimer ??
7
1