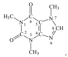
72 Caffeine 上有多少個甲基?
(A) 1
(B) 2
(C) 3
(D) 4

答案:登入後查看
統計: A(37), B(233), C(1477), D(166), E(0) #412451

詳解 (共 5 筆)

#2565094

Caffeine: 1,3,7-Trimethylxanthine

Theophylline: 1,3-Dimethylxanthine

Theobromine: 3,7-Dimethylxanthine

42
0
#1317172
%252522%2525C3%2525A5%2525C2%25259C%2525
16
0
#6027771

茶13、可可37、咖啡137。

一生喝茶,三月七吃巧克力,一生氣灌咖啡。
7
0
#2916744
1337137
(共 9 字,隱藏中)
前往觀看
2
1
#6436818
甲基位置

13  37  137

茶 可可 咖啡
口訣:茶哥咖啡廳
0
0