阿摩線上測驗 登入

試題詳解

試卷:107年 - 107 身心特考_三等_財稅行政:經濟學#69048 | 科目:二、三等◆經濟學(研究)

試卷資訊

試卷名稱:107年 - 107 身心特考_三等_財稅行政:經濟學#69048

年份:107年

科目:二、三等◆經濟學(研究)

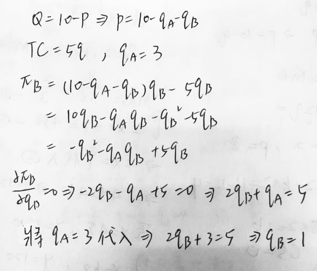
8 市場上存在兩家廠商(A 和 B)的寡占市場 Cournot 模型(數量競爭,同時出招)。市場的需求函數為 Q =10-P,其中 Q 為市場總消費量、P 則為市場價格。兩家廠商的成本函數皆為 C = 5q,其中 C 為個別廠 商的總成本、而 q 則為個別廠商的產量。試問,當 A 廠商的產量是 3 單位時,下列那一個產量是 B 廠 商的最適反擊?
(A) 0
(B) 1
(C) 2
(D) 3
正確答案:登入後查看

詳解 (共 5 筆)

推薦的詳解#2840492
未解鎖
Qb=0 Q(Qa+Qb)=3 P=...
(共 145 字,隱藏中)
前往觀看
15
0
推薦的詳解#3285712
未解鎖


(共 1 字,隱藏中)
前往觀看
11
0
推薦的詳解#2862209
未解鎖
B廠商追求利潤極大化兀b=Qb*P-TC...
(共 74 字,隱藏中)
前往觀看
10
0
推薦的詳解#3391597
未解鎖


(共 1 字,隱藏中)
前往觀看
7
0
推薦的詳解#2826993
未解鎖
求解~~~感謝~~~
(共 12 字,隱藏中)
前往觀看
3
2

私人筆記 (共 1 筆)

私人筆記#3942781
未解鎖
市場上存在兩家廠商(A 和 B)的寡占市...
(共 423 字,隱藏中)
前往觀看
2
0