阿摩線上測驗
登入
首頁
>
藥理學與藥物化學
>
113年 - 113 關務特種考試_三等_藥事(選試英文):藥理學與藥物化學#119458
> 申論題
題組內容
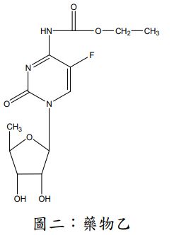
二、藥物乙如圖二所示,試回答下列問題:
(一)其作用機制(MOA)與臨床用途為何?(20 分)
相關申論題
(一)於正常血漿中,計算出化合物甲之解離態所占百分比。(10 分)
#508508
(二)臨床上以化合物甲為 pharmacophore 的藥物為何?試說明這些藥物之相關立體結構、作用機制(MOA)與臨床用途。(20 分)
#508509
(二)此藥之藥物交互作用為何?(10 分)
#508511
(一)說明藥物丙之主要結構名稱與其主要代謝物。
#508512
(二)其作用機制(MOA)與臨床用途為何?此藥物之不良反應為何?
#508513
(一)其作用機制(MOA)與臨床用途為何?
#508514
(二)以結構式表示此藥物溶液貯存時的可能變化,並加以說明。
#508515
四、Ticlopidine, Clopidogrel 與 Prasugrel(如圖二)此三個藥品具抑制血小板聚集、延長出血時間,主要之作用機制為何?以結構式表示並說明。
#547847
三、如圖一所示,藥品乙、丙如何代謝出具毒性之物質,以結構式表示並說明。
#547846
二、請說明藥品經長期使用後產生耐受性(tolerance)之分類,並分別說明其對應之可能生理或藥理機轉。
#547845
相關試卷
114年 - 114 高等考試_三級_藥事:藥理學與藥物化學#128497
114年 · #128497
114年 - 114 關務特種考試_三等_藥事(選試英文):藥理學與藥物化學#126560
114年 · #126560
113年 - 113 高等考試_三級_藥事:藥理學與藥物化學#121257
113年 · #121257
113年 - 113 關務特種考試_三等_藥事(選試英文):藥理學與藥物化學#119458
113年 · #119458
112年 - 112 公務升官等考試_薦任_藥事:藥理學與藥物化學#117130
112年 · #117130
112年 - 112 高等考試_三級_藥事:藥理學與藥物化學#115547
112年 · #115547
112年 - 112 關務特種考試_三等_藥事:藥理學與藥物化學#113877
112年 · #113877
111年 - 111 高等考試_三級_藥事:藥理學與藥物化學#109661
111年 · #109661
111年 - 111 關務特種考試_三等_藥事:藥理學與藥物化學#107544
111年 · #107544
111年 - 111-1 專技高考_藥師(一):藥理學與藥物化學#106203
111年 · #106203