阿摩線上測驗
登入
首頁
>
放射物理學
>
112年 - 112 高等考試_三級_輻射安全:放射物理學#115771
> 申論題
題組內容
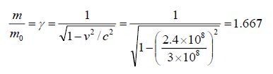
一、若一電子的速度為2.4×10
8
m/s,則此電子的:
(一) 質量約為靜止質量的幾倍?
詳解 (共 1 筆)
詳解
提供者:29度C晴時多雲
相關申論題
(二) 總能量為多少MeV?
#494981
(三) 動能為多少MeV?
#494982
(一) 此二衰變系列中產生的氣體子核及最終產物分別為何?(8分)
#494983
(二) 試問一個原子衰變至氣體子核的過程,會發射出多少個阿伐粒子和貝他(β-)粒子?(5分)
#494984
(三) 試問一個 原子衰變至最終穏定原子核的過程,會發射出多少個阿伐粒子和貝他(β-)粒子?(5分)
#494985
(一) 欲使快中子減速,選擇什麼樣的材料為佳?原因為何?(3分)
#494986
(二) 請寫出熱中子與人體組織元素作用的兩種最重要反應式。 (4分)
#494987
(三) 10B(n,α)7Li反應中,硼對0.025 eV中子的捕獲截面為753邦,則其對10 eV中子的捕獲截面為多少邦?(3分)
#494988
(一) 在74小時後的星期四上午10:00將所有提取使用,有多少GBq 可供使用?(7分)
#494989
(二) 若隔天(星期五)上午10:00再次全部提取,將有多少GBq 可供使用?(8分)
#494990
相關試卷
112年 - 112 高等考試_三級_輻射安全:放射物理學#115771
112年 · #115771
111年 - 111 高等考試_三級_輻射安全:放射物理學#109674
111年 · #109674
110年 - 110 高等考試_三級_輻射安全:放射物理學#102367
110年 · #102367
109年 - 109 高等考試_三級_輻射安全:放射物理學#88414
109年 · #88414
108年 - 108 高等考試_三級_輻射安全:放射物理學#77924
108年 · #77924
107年 - 107 高等考試_三級_輻射安全:放射物理學#70967
107年 · #70967
106年 - 106 高等考試_三級_輻射安全:放射物理學#63049
106年 · #63049
104年 - 104 高等考試_三級_輻射安全:放射物理學#39461
104年 · #39461
103年 - 103 高等考試_三級_輻射安全:放射物理學#39627
103年 · #39627
102年 - 102 高等考試_三級_輻射安全:放射物理學#39719
102年 · #39719