阿摩線上測驗 登入

申論題資訊

試卷:110年 - 110 國立臺灣大學_碩士班招生考試_ 工程科學及海洋工程學研究所丙組:近代物理#100777
科目:研究所、轉學考(插大)-近代物理學
年份:110年
排序:0

題組內容

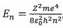
3. In the Bohr model of the hydrogen-like atom of atomic number Z the atomic energy levels of a single-electron are quantized with values given by 612d847c1f5ad.jpg, where m is the mass of the electron, e is the electronic charge, and n is an integer greater than zero (principal quantum number).

申論題內容

(a) What additional quantum numbers are needed to specify fully an atomic quantum state and what physical quantities do they quantify? (10%)