阿摩線上測驗
登入
首頁
>
天氣學
>
105年 - 105 普通考試_氣象:天氣學概要(包括基礎天氣分析與基礎大氣動力學)#54168
> 申論題
題組內容
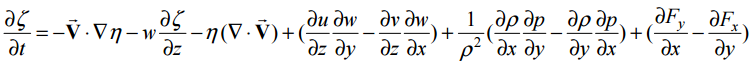
三、已知 z 座標中的渦度方程(vorticity equation)可表為
⑴試問其中那一項代表傾側(或扭轉)效應,又此效應如何使大氣產生旋轉?(10 分)
相關申論題
⑴氣象上,有好幾個可表示大氣濕度的變數,包括絕對濕度、水氣壓、相對濕度、 混合比、露點等,試問這五個變數的定義各為何?(15 分)
#200207
⑵承⑴題,上述的五個變數,分別在何種條件下會具有保守性?還是在所有條件下 都不具保守性?試分別敘述之。(10 分)
#200208
⑴試證明在 f 面近似下,地轉風為無輻散。(10 分)
#200209
⑵試寫出地轉風(Vg)與梯度風(Vgr)之關係式。又,考慮實際風較接近梯度風平 衡,則在高層西風波之槽區,地轉風將高估、低估或與實際風相等?(8 分)
#200210
⑶承⑵題,試分析梯度風與地轉風風速之比(Vgr/Vg)的最大值為多少?又,其發生 於高層西風波何處?(7 分)
#200211
⑵設應用於綜觀尺度,試對渦度方程進行合理簡化,並應用此簡化方程討論高層移 行短波槽系統所伴隨之輻合/輻散分布為何?(10 分)
#200213
⑶承⑵題,試做必要假設,推導出絕對渦度守恆定律。(5 分)
#200214
⑴該區域為何會有鋒生作用?試說明之。(5 分)
#200215
⑵由地轉調整的觀點,試繪跨越入區之南北向垂直剖面圖,並討論其所伴隨之環流 與垂直運動分布,及其作用為何(含平流層內者)?(10 分)
#200216
⑴此情境下有利劇烈天氣現象發生的條件有那些?(5 分)
#200217
相關試卷
115年 - 115 身心障礙特種考試_四等_氣象:天氣學概要(包括基礎天氣分析與基礎大氣動力學)#138926
115年 · #138926
114年 - 114 公務升官等考試_薦任_氣象:天氣學(包括天氣分析與天氣預報)#133183
114年 · #133183
114年 - 114 高等考試_三級_氣象:天氣學(包括天氣分析與天氣預報)#128450
114年 · #128450
114年 - 114 普通考試_氣象:天氣學概要(包括基礎天氣分析與基礎大氣動力學)#128408
114年 · #128408
113年 - 113 台灣電力公司_大學及研究所獎學金甄選試題_綠能氣象與再生能源預測:天氣學與氣候學#129318
113年 · #129318
113年 - 113 普通考試_氣象:天氣學概要(包括基礎天氣分析與基礎大氣動力學)#121220
113年 · #121220
113年 - 113 高等考試_三級_氣象:天氣學(包括天氣分析與天氣預報)#121201
113年 · #121201
112年 - 112 公務升官等考試_薦任_氣象:天氣學(包括天氣分析與天氣預報)#117117
112年 · #117117
112年 - 112 高等考試_三級_氣象:天氣學(包括天氣分析與天氣預報)#115403
112年 · #115403
112年 - 112 普通考試_氣象:天氣學概要(包括基礎天氣分析與基礎大氣動力學)#115322
112年 · #115322