題組內容
一、利用馬達將分水井中的原水輸送至沉砂池中進行處理,相關資料如下所示: 
1.高程:
分水井底高程(EL.)為 0.00 m
分水井水面平均高程(EL.)為 2 m
抽水機中心軸高程(乾井,Dry Pump)中心點高程(EL.)為 1 m
2.管線與相關閥件:
從分水井至馬達端所需的管線與相關閥件數量如下,管線直線距離可忽略不計: 

從馬達到沉砂池端所需的管線與相關閥件: 

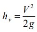
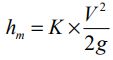
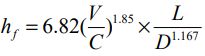
3.相關計算公式:
(主要損失)
(速度水頭)
(次要損失)
(主要損失)
(速度水頭)
(次要損失) 單位:Q 為 m3 /s;V 為 m/s;C 為粗糙係數;hf、hm、hv、D、L 皆為 m
4.抽水機馬達之特性曲線:

請針對以下問題進行作答: