題組內容
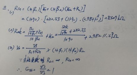
三、如圖三(不考慮 early effect,ro=∞) ,R1=50 kΩ,β1=β2=90,電路在 Vo可接負載 RL=1 kΩ,求:(每小題 5 分,共 20 分)
Rin=?
詳解 (共 1 筆)
詳解

三、如圖三(不考慮 early effect,ro=∞) ,R1=50 kΩ,β1=β2=90,電路在 Vo可接負載 RL=1 kΩ,求:(每小題 5 分,共 20 分)
