阿摩線上測驗
登入
首頁
>
高考◆大氣動力學
>
100年 - 100年升官等、關務人員升官等考薦任_氣象#40111
> 申論題
題組內容
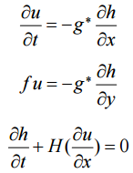
四、考慮下列 Kelvin wave 方程式:(20 分)
⑴導 Kelvin wave 頻散關係,此波動是頻散還是不可頻散?討論伴隨 Kelvin wave 的 位渦值。
相關申論題
⑵繪製相位圖,說明 y 方向的尺度,為何波動質量不會產生 y 方向波動。
#122208
五、以次環流調節熱力風平衡過程,解釋中緯度綜觀尺度渦度平流與溫度平流如何影響 大氣的垂直速度。(20 分)
#122209
一、將類比信號轉換成數位信號時必須合乎取樣定理(sampling theorem),請解釋 sampling theorem,並解釋 quantization error 及 aliasing error。(25 分)
#122210
二、在量測電生理信號時,都會要求被量測者身體儘量不要動,原因就是要避免 motion artifact,請描述電極與皮膚間產生 motion artifact 的模型及有效降低此干擾的方法。 (25 分)
#122211
三、任何活細胞都有靜止膜電位(resting membrane potential),此為心電圖、腦電圖或肌電 圖等電生理信號之根本,請詳述產生 resting membrane potential 的機制(mechanism)。 (25 分)
#122212
四、請問分析運算放大器(OP)電路時的兩項假設(或前提)為何?及可以使用這兩項 假設的原因。(25 分)
#122213
四、請列舉在量測生理電信號(例如心電圖)時,降低環境雜訊干擾的方法(至少五種)。 (25 分)
#122217
一、若醫院欲實施全面品質管理﹙total quality management;TQM﹚做為醫療品質管理策 略,請以 PDCA 循環圖舉例如何應用在醫療品質的管理上?(25 分)
#122218
二、我國醫院評鑑標準規定,主要是參酌 Donabedian 於 1960 年代提出之三項品質構面 來衡量,請問是那三個構面,試說明之。(25 分)
#122219
三、假設王醫師開了一家聯合門診(outpatient department,簡稱OPD),他投資了 5,000 萬元,預計每年固定成本為 1,000 萬元,而每一個病患的醫療費為 500 元(如: 藥費、檢查費…),其藥品及衛材的成本為 200 元。若OPD健保支付打 9 折,且 王醫師希望每年的投資報酬率(return on investment,簡稱ROI)為 5%,請問OPD 每年要看多少個病患,才能達到 5%的投資報酬率 ?(25 分)
#122220
相關試卷
114年 - 114 公務升官等考試_薦任_氣象:大氣動力學#133182
114年 · #133182
114年 - 114 高等考試_三級_氣象:大氣動力學#128403
114年 · #128403
113年 - 113 高等考試_三級_氣象:大氣動力學#121506
113年 · #121506
112年 - 112 公務升官等考試_薦任_氣象:大氣動力學#117306
112年 · #117306
112年 - 112 高等考試_三級_氣象:大氣動力學#115412
112年 · #115412
111年 - 111 高等考試_二級_氣象:高等大氣動力學#110948
111年 · #110948
111年 - 111 高等考試_三級_氣象:大氣動力學#109426
111年 · #109426
110年 - 110 公務升官等考試_薦任_氣象:大氣動力學#103685
110年 · #103685
110年 - 110 高等考試_三級_氣象:大氣動力學#102397
110年 · #102397
109年 - 109 高等考試_三級_氣象:大氣動力學#88749
109年 · #88749