阿摩線上測驗
登入
首頁
>
主題課程專用
>
無年度 - 主題課程_行列式和線性方程式:線性方程式#107934
> 申論題
題組內容
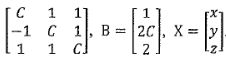
Let A=
.For what values of Cdoes the equation Ax =B have
a) One solution.(7%)
相關申論題
b) No solution.(7%)
#462722
c) Infinitely many solutions. (6%)
#462723
Consider the following linear equation systems, express these equations as the matrix form Ax=b. Then find the solution of the vector x. (5%)
#462724
(a) (6%) Find the reduced row echelon form ofA.
#462725
(b) (3%) What are dimnensions of Col( A ), Row( A ), and Null( A )? (6 %) Justify your answers. 0 T
#462726
a) (5%) no solutions;
#462727
b) (5%) exactly onc solution;
#462728
c) (5%) infinitely many solutions.
#462729
(10%) Solve for the unknown y in the following system of linear equations.4x+y+z+w=63x+7y-2+w=l 7.x + 3y -52 +8w =-3 x+y+z+2w=3
#462730
(1) (5%) Find all solutions to the system Ax = b.
#462731
相關試卷
無年度 - 主題課程_向量空間:秩(rank)、零度(nullity)、維度#108952
#108952
無年度 - 主題課程_向量空間:基底和維度#108872
#108872
無年度 - 主題課程_理工學院機率論:古典機率論#108850
#108850
無年度 - 主題課程_向量空間:線性獨立和線性相依#108250
#108250
無年度 - 主題課程_理工學院機率論:機率分配(離散型、連續型)#107979
#107979
無年度 - 主題課程_向量空間:向量空間和子空間#107951
#107951
無年度 - 主題課程_理工學院機率論:多元隨機變數#107950
#107950
無年度 - 主題課程_理工學院機率論:單一隨機變數#107935
#107935
無年度 - 主題課程_行列式和線性方程式:線性方程式#107934
#107934
無年度 - 主題課程_線性映射:基底變換和座標變換#107933
#107933