題組內容
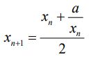
三、牛頓法是一種常用的數學方法,可用來求一個數值的平方根。若要計算 a 的平方根,可利用下列公式反覆進行近似:

其中 a 是要開平方根的數字, xn 是目前的估計值, xn+1 是下一次算出的新估計值。而當前後兩次估計值的差小於所容許的誤差 e 時,即可停止計算,並將該值視為平方根的近似解。
(一)請用 C 語言撰寫一個函式 float newtonSqrt(float a, float x, float e),來計 算 a 的平方根,其中 x 表示目前的估計值,e 為所容許的誤差。若目前 估計值與下一次估計值之差小於 e,則回傳該近似值;否則以遞迴方式 繼續呼叫自己。