阿摩線上測驗
登入
首頁
>
熱力學
>
111年 - 111 高等考試_三級_機械工程:熱力學#109466
> 申論題
申論題
試卷:111年 - 111 高等考試_三級_機械工程:熱力學#109466
科目:熱力學
年份:111年
排序:0
申論題資訊
試卷:
111年 - 111 高等考試_三級_機械工程:熱力學#109466
科目:
熱力學
年份:
111年
排序:
0
題組內容
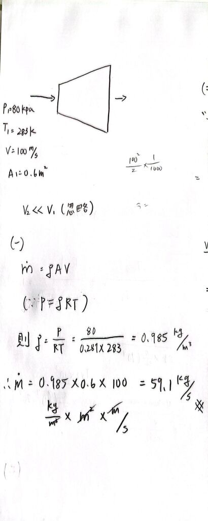
一、80 kPa 、 10 ℃ 的空氣以 100 m/s 的穩態進口速度流入一個擴散器 (Diffuser),擴散器進口的面積為 0.6 m
2
。若空氣在擴散器出口處的速度跟進口速度比較非常低,試求:
註:假設空氣為理想氣體,且其等壓比熱與等容比熱皆為定值[等壓比熱 ,等容比熱 Cv = 0.718 kJ/(kg·K) Cp = 1.005 kJ/(kg·K) ,氣體常數 R = 0.287 kJ/(kg·K)]。
申論題內容
(一)空氣的質量流率。 (單位取 kg/s)(10 分)
詳解 (共 1 筆)
詳解
提供者:臭臭束褲