阿摩線上測驗
登入
首頁
>
試驗設計
>
108年 - 108 地方政府特種考試_三等_農業技術:試驗設計#81368
> 申論題
題組內容
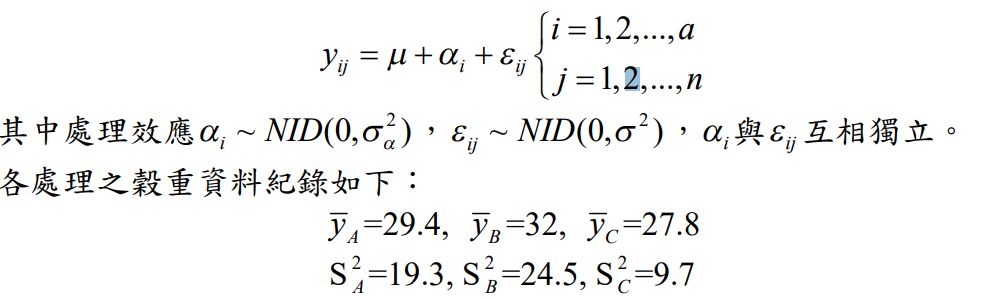
一、假設有 A, B, C 三種不同氮肥處理,欲比較其對水稻穀重是否有差異, 採完全隨機設計,重複次數為 5 次,其模式如下:
(一)請寫出 H0及 Ha,並計算完成變方分析表,如顯著水準為 5%及 1%時 的臨界值分別是 3.89 及 6.93,結論為何?(15 分)
相關申論題
(二)請估計 σ 2 y 及 σ2 α。(10 分)
#331086
二、(一)某研究人員初步分析田間試驗資料後,發現試驗資料既不符合變方分 析所要求的常態分布前提假設,同時又不符合變方均質的前提假設, 請問該研究人員應該如何解決上述兩個前提不符合的問題?(15 分)
#331087
(二)研究人員常利用殘差圖(residual plot)來檢查變方是否均質,請問何 謂殘差以及如何利用殘差圖來判定變方是否均質?(10 分)
#331088
(一)寫出分析此試驗資料之線性統計模式,並解釋此模式中各成分之意 義。(15 分)
#331089
(二)請分別寫出檢定氮肥種類及玉米品種因子效應是否有顯著差異的檢 定統計量公式。(10 分) 代號:32980 頁次:2-2
#331090
(一)請完成變方分析表並說明結論為何?(α = 0.05)(10 分)
#331091
(二)請計算各變方成分的估值?(15 分) F0.05,2,9=4.26;F0.05,2,24=3.40;F0.05,9,24=2.30;F0.05,2,6=5.14;F0.05,3,6=4.76;F0.05,6,24=2.51
#331092
(二)如果研究者希望在此基礎上增加第三個因素 C(溫度:低溫 vs 高溫) , 請敘述如何設計一個具有兩個區組的三因素析因設計,並具體說明處 理總數、小區數量和模型結構。
#560565
(一)試述此一統計結果,對於實驗的說明與解釋,可進一步說明本實驗的結論為何?利用下列平均數,估計 A 和 B 的主效果和交互效應。
#560564
三、一位研究人員採用完全隨機設計(CRD)進行了一項農業試驗,研究施 肥量(X)與水稻產量(Y)之間的關係。試驗中,5 個施肥水準被隨機分配到 15 個小區(每個小區 3 個重複) 。下表顯示了統計軟體的輸出結果總結: 試述在完全隨機設計(CRD)的背景下,解釋變異數分析表(ANOVA) 中的結果,迴歸方程式 Ŷ = 4.25 + 0.95X 。截距和斜率分別代表什麼?計算 X 和 Y 之間的相關係數 r,並解釋其含義。描述此統計結果如何使用 變異數分析和 p 值來判斷施肥水準是否對產量有顯著影響。在田間試驗 中完全隨機設計中可能出現的迴歸假設違反情況,以及殘差分析如何偵測出這種違反情況。
#560563
相關試卷
114年 - 114 地方政府公務特種考試_三等_農業技術:試驗設計#134716
114年 · #134716
114年 - 114 專技高考_農藝技師:試驗設計#133681
114年 · #133681
114年 - 114 公務升官等考試_薦任_農業技術:試驗設計#133253
114年 · #133253
114年 - 114 高等考試_二級_農業技術:試驗設計#131566
114年 · #131566
114年 - 114 原住民族特種考試_三等_農業技術:試驗設計#130951
114年 · #130951
114年 - 114 高等考試_三級_農業技術:試驗設計#128714
114年 · #128714
113年 - 113 地方政府公務特種考試_三等_農業技術:試驗設計#124510
113年 · #124510
113年 - 113 專技高考_農藝技師:試驗設計#123930
113年 · #123930
113年 - 113 高等考試_二級_農業技術:試驗設計#123074
113年 · #123074
113年 - 113 原住民族特種考試_三等_農業技術:試驗設計#122671
113年 · #122671