題組內容
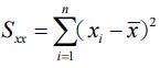
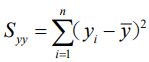
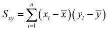
四、某研究人員擬探討某水稻品種的產量(y)與氮肥用量(x)的關係,試 驗後測得 n = 10 組不同氮肥用量的稻穀單位產量資料。根據資料的散布圖,可以由下列線性回歸模式(linear regression model)來分析這筆資料:

由資料計算獲得的平方和與乘積和如下 :
=5.05,
=2283.57,
=96.75。
(一)請解釋 β 的意義,並計算 β 的最小平方法估值(LSE)。
四、某研究人員擬探討某水稻品種的產量(y)與氮肥用量(x)的關係,試 驗後測得 n = 10 組不同氮肥用量的稻穀單位產量資料。根據資料的散布圖,可以由下列線性回歸模式(linear regression model)來分析這筆資料:

由資料計算獲得的平方和與乘積和如下 :
=5.05,
=2283.57,
=96.75。
(一)請解釋 β 的意義,並計算 β 的最小平方法估值(LSE)。