題組內容
二、Albert Einstein 於 1917 年引進了宇宙學常數
,而將場方程式改寫為
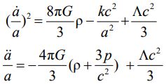
根據廣義相對論與宇宙學原理 ( cosmological principle ), Alexander Friedmann 於 1922 年得到 Friedmann 方程:
(二)在不考慮宇宙學常數時,如何定義宇宙的臨界密度?(5 分)
二、Albert Einstein 於 1917 年引進了宇宙學常數
,而將場方程式改寫為
根據廣義相對論與宇宙學原理 ( cosmological principle ), Alexander Friedmann 於 1922 年得到 Friedmann 方程:
(二)在不考慮宇宙學常數時,如何定義宇宙的臨界密度?(5 分)