阿摩線上測驗 登入

申論題資訊

試卷:112年 - 112 專技高考_都市計畫技師:計畫分析方法#117628
科目:技師◆計畫分析方法
年份:112年
排序:0

題組內容

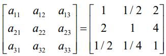
四、兩城市間擬開闢一條道路,路線的選擇有兩個方案,擬採用分析階層程序法來進行方案評選,若其中對於準則權重設定的 3 個項目的成對比較矩陣為
655c6d9d47b84.jpg

其中 aij = Wi /Wj 。(Wi 代表 i 項目的權重值)

申論題內容

(二)實際調查的結果,若有的受訪者的回答不太一致,如何判斷此樣本是否可以接受?(10 分)