阿摩線上測驗 登入

申論題資訊

試卷:112年 - 112 身心障礙特種考試_四等_氣象:天氣學概要(包括基礎天氣分析與基礎大氣動力學)#113791
科目:天氣學
年份:112年
排序:0

題組內容

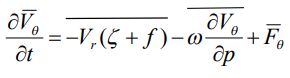
五、已知準軸對稱颱風渦旋在氣壓圓柱坐標(r, θ, p)下之切向運動方程如下:
64463657c635c.jpg 

其中 Vr 為徑向速度、6446367fe337d.jpg為切向速度、644636858a273.jpg為切向摩擦加速度,上方橫線則表示沿方位角之軸向平均,其餘符號為一般常用者。請回答下列問題:

申論題內容

(二)說明颱風環流增強主要受到何種機制影響?並說明該機制出現所需要的條件為何?(5 分)