阿摩線上測驗 登入

申論題資訊

試卷:109年 - 109 原住民族特種考試_三等_財稅行政:經濟學#90930
科目:二、三等◆經濟學(研究)
年份:109年
排序:0

題組內容

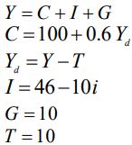
一、考慮封閉的凱因斯模型:5f60139844ef1.jpg其中 i 為實質利率,Y 為實質產出水準,Yd 為可支配所得, C 為消費量, T 為總稅收, G 為政府支出, I 為投資數量。

申論題內容

(五)假設自發性消費由 100 減少為 90。在實質利率水準 i =1,說明凱因斯 的節儉的矛盾是否成立?(5 分)

詳解 (共 3 筆)

詳解 提供者:111電雇上岸

節儉的矛盾

在有效需求理論中,消費受均衡所得影響,

當社會大眾增加自發性儲蓄的同時將造成自發性消費減少,進而使有效需求減少,

均衡所得將下降,受所得影響的誘發性儲蓄也將下降,

透過乘數效果,若自發性儲蓄增加造成均衡所得下降太多,以至於誘發性儲蓄大幅度減少,

最後導致總儲蓄沒有增加甚至減少,即發生了節儉的矛盾性

S = Yd - C

代入後,S下降,成立

詳解 提供者:蝦皮搜尋「國營上榜秘笈」109聯招 管理學高分

2022/7 點我領取國營管理學高分筆記電子檔!!

節儉的矛盾:代表當自發性儲蓄(-C0)增加時,整體儲蓄(S=-C0+(1-C1)Yd)卻下降或不變之情況。

1. 如題,當自發性消費(C0)由100減少為90,代表自發性儲蓄(-C0由-100增加為-90

2. 變動前:Y=350

(1) -C0=-100

(2) S=-C0+(1-C1)Yd=-100+(1-0.6)(350-10)=36

3. 變動後:Y’=325

(1) -C0=-90

(2) S’= -C0’+(1-C1)Yd’=-90+(1-0.6)(325-10)=36

4. 結論:
當自發性儲蓄增加時,整體儲蓄卻不變(S=S'=36),故節儉的矛盾成立。
 
[歡迎蝦皮搜尋
詳解 提供者:109國營企管一年正取中油

這題的S不變 但是Y減少了 仍然成立節儉的矛盾這樣吧