題組內容
三、畫出下列各藥物之活性型(active form)代謝產物之結構。
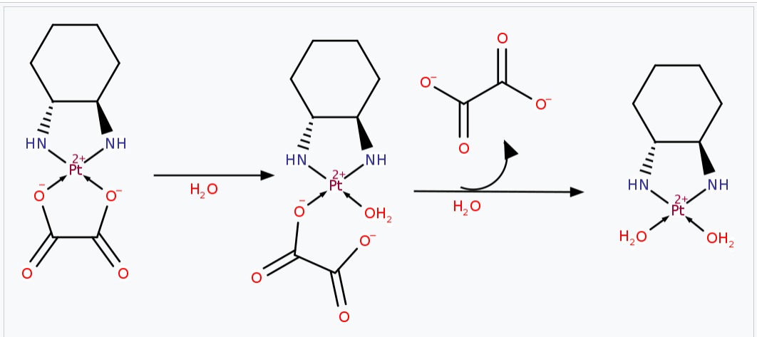
(四)
詳解 (共 1 筆)
詳解

https://zh.wikipedia.org/wiki/%E5%A5%A5%E6%B2%99%E5%88%A9%E9%93%82
Oxaliplatin