阿摩線上測驗
登入
首頁
>
輻射防護師◆游離輻射防護專業
>
112年 - 112-2 行政院原子能委員會_輻射防護師:游離輻射防護專業#118668
> 申論題
題組內容
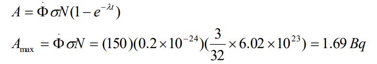
1. 一個質量為 3 克的
32
S 樣品受到快中子照射,照射通量為 150 /(cm
2
.s)。已知
32
S(n, p)
32
P 的反應截面為 0.200 邦,
32
P 的半化期為 14.3 天,請問:
(1)
32
P 的最大活度(Bq)
詳解 (共 1 筆)
詳解
提供者:床編故事的粉絲
相關申論題
(2)若想使 32P 的活度達到最大值的 3/4,需要照射幾天?
#506235
2. 一個 1 mCi 的 60Co 點射源,距其 1 cm 處的空氣克馬率(air kerma rate)為多少 Gy/h? ( μtr/ρ = 2.67×10-3 m2 /kg,1 eV = 1.6×10-19 J )
#506236
3. 電子加速器運轉時,若手臂被 4 MeV 的電子束照射 3 秒,此時被照射的部位平均吸收劑量為多少戈雷(Gy)?(電子射束: 3✖107個電子/秒,電子射束的直徑=3 mm,電子在手臂的能量損失為 2 MeV-cm2 /g,假設手臂的密度為 1.05 g/cm3 )
#506237
(1)請解釋何謂推定空氣濃度?
#506238
(2) 22Na 的吸入每單位攝入量放射性核種劑量轉換因數為 2.0×10-9 Sv/Bq,請以此條件計算輻射工作人員的推定空氣濃度管制限度(Bq/m3 )為多少?
#506239
5. 以 HPGe 偵檢器度量 511 keV 單能量的光子能譜,請問光電峰(photopeak),康普吞邊緣 (Compton edge)及回散射峰(backscattered peak)分別位於多少能量?
#506240
6. 一個從 210Po 釋放的 α 粒子(動能 5.3 MeV)經過氫分子時( α 粒子距離外層電子距離為 0.4Å ),將氫軌道上的電子游離,請計算被游離電子的動能為多少 eV?(氫分子的游離位能 (Φ) 為 4.06 eV,游離粒子轉移給軌道電子的能量可由下列方程式計算
#506241
(1)如果有 1 μg 的銫-137 經過一天的蛻變,所釋放的總 γ 能量為多少 MeV?
#506242
(2)如果這 1 μg 的銫-137 累積在 1 公斤的物質內,請計算一天的蛻變過程中 β- 粒子對此物質所造成的吸收劑量為多少 Gy?(假設所有β- 的能量都被吸收)
#506243
7. 如果一個試樣在 5 分鐘內總計數的相對偏差為 2.5%,試問欲將其降低到 0.5%,則總計數時間為多少分鐘?
#554457
相關試卷
114年 - 114-2 行政院原子能委員會_輻射防護師:游離輻射防護專業#132414
114年 · #132414
114年 - 114-1 行政院原子能委員會_輻射防護師:游離輻射防護專業#126999
114年 · #126999
113年 - 113-2 行政院原子能委員會_輻射防護師:游離輻射防護專業#124951
113年 · #124951
113年 - 113-1 行政院原子能委員會_輻射防護師:游離輻射防護專業#122515
113年 · #122515
112年 - 112-2 行政院原子能委員會_輻射防護師:游離輻射防護專業#118668
112年 · #118668
112年 - 112-1 行政院原子能委員會_輻射防護師:游離輻射防護專業#114279
112年 · #114279
111年 - 111-2行政院原子能委員會_輻射防護師:游離輻射防護專業#111457
111年 · #111457
111年 - 111-1 行政院原子能委員會_輻射防護師:游離輻射防護專業#108401
111年 · #108401
110年 - 110-2 行政院原子能委員會_輻射防護師:游離輻射防護專業#103867
110年 · #103867
110年 - 110-1 行政院原子能委員會_輻射防護師:游離輻射防護專業#98729
110年 · #98729