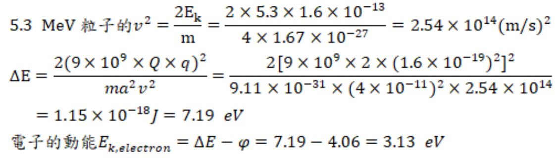
6. 一個從 210Po 釋放的 α 粒子(動能 5.3 MeV)經過氫分子時( α 粒子距離外層電子距離為 0.4Å ),將氫軌道上的電子游離,請計算被游離電子的動能為多少 eV?(氫分子的游離位能 (Φ) 為 4.06 eV,游離粒子轉移給軌道電子的能量可由下列方程式計算

詳解 (共 1 筆)
詳解

6. 一個從 210Po 釋放的 α 粒子(動能 5.3 MeV)經過氫分子時( α 粒子距離外層電子距離為 0.4Å ),將氫軌道上的電子游離,請計算被游離電子的動能為多少 eV?(氫分子的游離位能 (Φ) 為 4.06 eV,游離粒子轉移給軌道電子的能量可由下列方程式計算

