阿摩線上測驗
登入
首頁
>
研究所、轉學考(插大)-微積分
>
102年 - 102 國立臺南大學_轉學生招生考試試題_電機工程學系二年級:微積分#124209
> 申論題
題組內容
Let f(x,y)=
. Find the following first partial derivatives.
(11)
相關申論題
(1)
#527968
(2)
#527969
(3) Find of the function by implicit differentiation.
#527970
(4)
#527971
(5)
#527972
(6) If , use the Fundamental Theorem of Calculus to find F'(x)=?
#527973
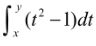
(7) Find .
#527974
(8) Find the derivative of F(t)=.
#527975
(9) Find if .
#527976
(10) Use the shell method to find the volume of the solid generated by revolving the region bounded by the graphs of the equations y=,y=0,x=1,x=5 about the y-axis.
#527977
相關試卷
114年 - 114 臺灣綜合大學系統_學士班轉學生考試試題:微積分A#137897
114年 · #137897
114年 - 114 臺灣綜合大學系統_學士班轉學生考試試題:微積分B#137819
114年 · #137819
114年 - 114 台灣聯合大學系統_學士班轉學生考試試題:微積分#137762
114年 · #137762
114年 - 114 台灣聯合大學系統_學士班轉學生考試試題:微積分#137761
114年 · #137761
114年 - 114 國立臺灣大學_轉學生招生考試_物理學系/土木工程學系/生物環境系統工程學系/生物機電工程學系:微積分(B)#137745
114年 · #137745
114年 - 114 國立臺灣大學_轉學生招生考試_數學系:微積分(A)#137744
114年 · #137744
113年 - 113 國立嘉義大學_轉學生招生考試試題_(全校):微積分#122986
113年 · #122986
112年 - 112 國立臺灣大學_碩士班招生考試題:微積分(D)#130254
112年 · #130254
112年 - 112 國立陽明交通大學_碩士班入學招生試題_統計學研究所﹕微積分與線性代數#130252
112年 · #130252
112年 - 112 國立嘉義大學_轉學生招生考試試題:微積分#123297
112年 · #123297