阿摩線上測驗
登入
首頁
>
研究所、轉學考(插大)-經濟學
>
96年 - 96 淡江大學 轉學考 經濟學#56054
> 申論題
題組內容
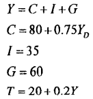
3.以下是一.封閉經濟的簡單凱恩斯模型:
式中Y與Y
D
分別是總產出與可支配所得,C與I分別是消费與投資支出.G 與T分別是政府支出與租稅。請問
(2)假設充分就業的產出是500,則欲達到此一產fll水準》政府畢如何琿用其 支出政策?政府支出乘數效果有多大(8分)
相關申論題
4.根據古典學派的總體經濟模型.國内金融機構廣設提款機,對物價、產出、 實質工資與就業的影饗為何? (12分)
#212812
(a) Suppose current I1flows in the big loop, find the flux Φ2 through the little loop.
#212813
(b) Suppose current I2 flows in the little loop, find the flux Φ1 through the big loop.
#212814
(c) Find the mutual inductances, and confirm that Ml2 = M21.
#212815
(a) Determine Q(t) = ? and I(t) = ?
#212816
(b) Find the total energy output of the baltery W = ?
#212817
(c) Find the fmal energy stored in the capacitor W = ?,
#212818
(d) Find the expression for B(r) = ? at a point inside the capacitor at radius r from the center, when the capacitor is being charged, (r <b)
#212819
(e) Find the expression for B(r) = ? at a point outside the capacitor at radius r from the center, when Ihe capacitor is being charged. (r > b)
#212820
(a) Locate all the bound charges σb= ? and ρb= ?
#212821
相關試卷
114年 - [無官方正解]114 臺灣綜合大學系統_學士班轉學生考試試題:經濟學#138281
114年 · #138281
114年 - [無官方正解]114 臺灣綜合大學系統_學士班轉學生考試試題:經濟學#137887
114年 · #137887
114年 - 114 台灣聯合大學系統_學士班轉學生考試試題:經濟學#137759
114年 · #137759
113年 - 113 國立成功大學_碩士班招生考試_交通管理研究所:經濟學#122751
113年 · #122751
113年 - 113 國立台灣大學_碩士班招生考試試題_土木工程研究所交通組:經濟學(C)(含工程經濟)#119247
113年 · #119247
112年 - 112 國立成功大學_碩士班招生考試試題_電信管理科學系:經濟學#119853
112年 · #119853
112年 - 112 國立成功大學_碩士班招生考試試題_交通管理科學系:經濟學#119711
112年 · #119711
112年 - 112 國立台灣大學_碩士班招生考試試題:經濟學(C)#119248
112年 · #119248
111年 - 111 國立臺灣大學_碩士班招生考試試題:經濟學 (C)#120838
111年 · #120838
110年 - 110 國立成功大學_碩士班招生考試試題_交通管理科學系、電信管理研究所:經濟學#121619
110年 · #121619