阿摩線上測驗
登入
首頁
>
教甄◆化學專業/化工科
>
103年 - 103 高雄市市立高級中等學校聯合教師甄選:化學科#98003
> 申論題
題組內容
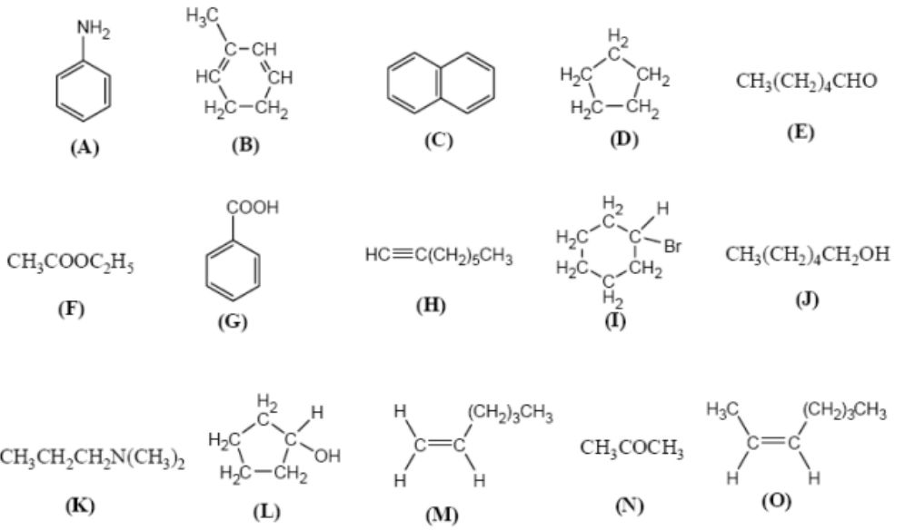
8. 根據化合物(A)~(O),回答下列問題:
(2)哪一個化合物可以有反式異構物?(寫出代號與其正確的中文名稱)______。
相關申論題
1. 硝基苯 C6H5NO2和金屬錫作用,可幾乎完全還原成苯胺 C6H5NH2,其化學方程式為:a Sn(s) + b C6H5NO2 + → d C6H5NH2 + 4 H2O + , 請問 a + b + c + d + e =________
#409030
2. 光合作用反應之平衡方程式如下所示: 若葉綠素僅吸收 6500 Å 波長之紅光以合成葡萄糖,試計算欲經光合作 用合成 1 克葡萄糖所需之紅光光子莫耳數為_____。 (蒲朗克常數 h = Planck's constant = 6.626 J-s)
#409031
3. 氯酸鉀受熱分解產生氧氣。利用排水集氣法在水面上收集潮濕的氧氣 2 公升,溫度 25℃、壓力為 785mmHg。在相同的壓力與溫度下(785mmHg、25℃),氧氣乾燥後的體積變為 1.94 公升。試求在 25℃時,水的飽和蒸 氣壓為若干 mmHg?_______
#409032
4. 溶質為甲物的水溶液,4 m、200 g 與 2 m、150 g 兩杯混合後,溶液的重 量莫耳濃度為若干 m。(已知甲物分子量=250)_______
#409033
5. 定量某放射元素之放射強度為 6.4 x 105 次/秒,經放射 2 天後測量其放 射強度減為 4.0 x 104 次/秒,該元素之半生期為______。
#409034
6. 在 27℃及 1 atm 下,將 5.6 g 的 Mn 金屬與過量的鹽酸溶液反應,結果 產生 2.46 L 和 Mn 的氯化物,請問 x 是多少?(將 H2視為理想氣體)______。(原子量:Mn=56)
#409035
(1)加入 5 mol 的 He 維持總壓不變時?(He 與 A、B 皆不反應)_____。
#409036
(2)加 B 維持壓力不變,體積變為 4 倍時?_____。
#409037
(1)化合物(A)~(O)共有若干個 sp2混成軌域的碳原子?_______
#409038
9. 試比較 PH3、H2S、HCl 分子極性大小_______
#409040
相關試卷
114年 - 114-2 臺北市立中正高中_教師甄選初試試題:化學科#130222
114年 · #130222
114年 - 114-1 新竹市立成德高級中學_教師甄試試題:化學科#130089
114年 · #130089
114年 - 114-2 臺北市立松山高級中學_正式教師甄選初試試題:化學科#130088
114年 · #130088
114年 - 114-1 臺北市立南湖高級中學_正式教師甄選試題:化學科#129869
114年 · #129869
114年 - 114-2 臺北市立第一女子高級中學_正式教師甄選試題: 化學科#129867
114年 · #129867
114年 - 114-1 臺北市立復興高級中學_專任教師甄選試題:化學科#129386
114年 · #129386
114年 - 114 新北市公立高級中等學校_教師聯合甄選試題:化學科#129035
114年 · #129035
114年 - 114 國立嘉科實驗高級中學高中部_教師甄選試題﹕化學科#128807
114年 · #128807
114年 - 114-1 台北市立和平高級中學_正式教師甄選試題﹕化學科#128802
114年 · #128802
114年 - 114年新竹縣立湖口高中高中正式教師甄選化學科初試筆試題目#128800
114年 · #128800