題組內容
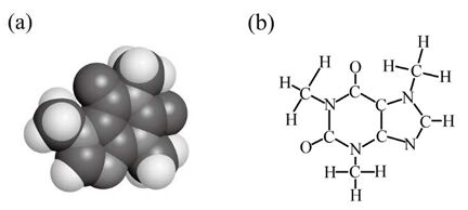
8.咖啡因是一種中樞神經興奮劑,能暫時的驅走睡意並恢復精力,所以人們在從事思考、閱讀、會議等腦力勞動時,常選擇有咖啡因成分的咖啡、茶、軟飲料及能量飲料來提神。圖(a)為經由電腦計算所得的咖啡因填充模型,而圖(b)為未完成的路易斯結構,試回答下列問題:
(2)此分子中有多少個C–N鍵是利用C的sp2混成軌域與N的sp3混成軌域重疊而產生?
8.咖啡因是一種中樞神經興奮劑,能暫時的驅走睡意並恢復精力,所以人們在從事思考、閱讀、會議等腦力勞動時,常選擇有咖啡因成分的咖啡、茶、軟飲料及能量飲料來提神。圖(a)為經由電腦計算所得的咖啡因填充模型,而圖(b)為未完成的路易斯結構,試回答下列問題:
(2)此分子中有多少個C–N鍵是利用C的sp2混成軌域與N的sp3混成軌域重疊而產生?