所屬科目:教甄◆化學專業/化工科
1.未知濃度的過氧化氫水溶液3g,加入過量KI酸性溶液、少許澱粉漿。生成的碘,再以0.40M的硫代硫酸鈉(Na2S2O3)水溶液滴定至藍色消失,發現共用去30.0mL的滴定液,試求原過氧化氫水溶液中H2O2的重量百分率為多少%?(A)3.4(B)6.8(C)34(D)68(E)17
2.已知0.01MCH3COOH(aq)中,其解離百分比為4%,若於該溶液500mL中加入0.02molCH3COONa,求溶液之pH值為何?(A)3.6(B)4.2(C)5.4(D)6.0(E)6.4
3.含有0.1MCl和0.01M的混合溶液逐滴加入,若AgCl之=、之,當第二種沉澱物開始沉澱時,第一種沉澱物的陰離子留下百分之幾?(A)2%(B)0.2%(C)0.02%(D)0.002%(E)0.001%
4.下列各反應中,畫底線的物質原平衡濃度為C1,定溫下將反應體積減半,新平衡濃度為C2,則哪一組反應會符合1<<2?(A)(B)(C)(D)(E)
5.在定溫下,化合物A分解成B和C氣體之解離度為40%,其反應式如下:
。同樣條件下,若初始有和存在,則達平衡時,混合物的莫耳數為若干mol?(A)1.8(B)2.0(C)2.4(D)3.6(E)4.8
6.有兩錯合物:①Pt(NH3)2Cl4;②Pt(NH3)4Cl2,下列敘述哪些正確?(A)形狀:①為八面體;②為四面體(B)水中溶解度:②>①(C)異構物數目:①>②(D)熔點:①>②(E)於其中加入,則兩者皆可生成
7.下列各選項的兩溶液等體積混合,何者可配製出pH=4緩衝溶液?(CH3COOH)(A)0.18M醋酸鈉+1.0M醋酸(B)0.18M醋酸鈉+0.1M醋酸(C)1.18M醋酸+0.18M氫氧化鈉(D)0.18M醋酸+0.18M氫氧化鈉(E)1.18M醋酸鈉+1.0M鹽酸
8.今有aA(g)+bB(g)cC(g)+QkJ平衡物系,若量取A與B均相同下,經甲、乙、丙三反應途徑進行反應,則其反應時間(X軸)與[C](Y軸)的關係如右圖所示,則下列敘述何者正確?(A)溫度:甲=乙>丙(B)若Q為正值時,其反應熱△H=-QkJ(C)平衡常數:甲=乙=丙(D)速率常數:丙>甲>乙(E)反應速率:甲>乙>丙
9.已知由4個燒杯組成的雙電池,如右下圖:下列敘述哪些正確?(A)圖中雙電池的電流方向為逆時針(B)伏特計讀數約為2.15V(C)丁燒杯中之Ni片上發生氧化反應,故為陽極(D)丙燒杯中離子濃度由1.0M減低至0.1M時,伏特計的讀數會增加(E)若在半電池乙中加入Na2S,總電壓將加大。
10.某一定量、易揮發性的液體X,定溫時(25℃)其蒸氣壓P與容積V的變化如下圖(一),並將此液體置入下圖(二)容器(甲)中,而(乙)容器為壓力為600mmHg的He。有關圖(一)及圖(二),則下列敘述哪些是正確的?(A)活栓未打開前,容器(甲)的壓力為150mmHg(B)活栓打開後,X的分壓為100mmHg(C)活栓打開後,容器(甲)中仍有X液態存在(D)活栓打開後,He的分壓為400mmHg(E)活栓打開後,氣體的總壓為600mmHg
11.下列有關化合物結構的敘述,哪些正確?(A)的Cu為sp2混成軌域(B)Cu(NH3)4Cl2異構物形狀為平面四邊形(C)Zn(NH3)2Cl2的異構物中,有順式及反式2種(D)苯甲酸均為sp2混成軌域(E)Cr(NH3)4Cl3的異構物中,有順式及反式2種
12.在特定溫度下,測得的Kp=0.5atm。同樣條件下,將置入一容器中,使反應達平衡,測得總壓力為6atm,則下列數據哪些正確?(A)14.3%莫耳分率的分解為(B)原來的的壓力大於6atm(C)平衡時壓力為4.5atm(D)平衡時壓力為2atm(E)若減小反應容器的體積平衡會生成更多
13.某反應由實驗得數據如下表,則:(多選)(A)為零級反應(B)為一級反應(C)速率常數為mol.(D)反應速率之單位與速率常數的單位相同(E)若時間為100秒後,剩下的濃度為0.04M
14.下列熱化學反應①和②的反應熱各為ΔH1及ΔH2。
(A)H4>ΔH3(B)ΔH3>ΔH5(C)ΔH4>ΔH5(D)ΔH3>ΔH5>ΔH4(E)ΔH4>ΔH3>ΔH5
15.在同溫同壓下,等莫耳He與CH4兩種氣體分別進行逸散實驗,則下列敘述何者正確?(A)He與CH4兩種氣體的擴散速率比為1:4(B)自小孔逸散,經過相同時間,He與CH4逸散的質量比為1:2(C)自小孔逸散,經過相同時間,He與CH4逸散的莫耳數比為2:1(D)逸散同體積的氣體時,He與CH4所需的時間比為1:2(E)兩者各逸散1克時,He與CH4所需的時間比為2:1
三、填充題1.下列水溶液均為5%之稀溶液,
b:CO(NH2)2(aq)c:K2SO4(aq)d:C2H5OH(aq),
則請寫出其凝固點高低次序。(K=39,S=32)
2.已知4HBr(g)+O2(g)→2H2O(g)+2Br2(g)的速率定律為r=k[HBr][O2],已知400℃、總壓1atm時,1莫耳HBr及4莫耳O2作用的反應速率為s,試求定溫、定壓下,加入5莫耳O2,則反應速率為s的若干倍?
3.CaCO3於水中溶解度約為7mg/L。已知當碳酸鈉加入含相同體積莫耳濃度之溶液中,直到90%已被沉澱為BaCO3時,才有CaCO3生成,求BaCO3之Ksp。
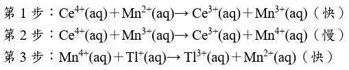
4.水溶液中,鈰離子(Ⅳ)與鉈離子(Ⅰ)反應的反應機構如下:
請寫出此反應的速率定律式。
5.根據下表中各反應的反應熱回答下列問題:
試求乙烷(C2H6)的莫耳燃燒熱為多少kJ?
6.寫出聚合物的單體名稱。
7.某生利用化學儀器監測物質A、B與C的體積莫耳濃度,並且計算出化學反應的平衡常數。如圖1即為在定溫定容下監測物質A、B與C的體積莫耳濃度的結果,虛線為達化學平衡的時間。根據圖1的監測結果,此反應的化學平衡常數=?
(1)此分子共有幾對孤對電子、幾個π鍵?
(2)此分子中有多少個C–N鍵是利用C的sp2混成軌域與N的sp3混成軌域重疊而產生?
9.試由下列數據,求出MgBr2(s)的晶格能。
Mg(s)的昇華熱ΔH1=+148kJ/mol
Mg(g)形成(g)的游離能ΔH2=+2187kJ/mol
Br2(l)的汽化熱ΔH3=+31kJ/mol
Br2(g)的鍵能ΔH4=+193kJ/mol
Br(g)電子親和力ΔH5=-331kJ/mol
MgBr2(s)的生成熱ΔH6=-524kJ/mol
試由上述數據,求出MgBr2(s)的晶格能kJ/mol。
10.1.0克的鐵錫合金,以1M的稀硫酸完全溶解,於溶液中加入50mL、0.1M的過錳酸鉀酸性溶液;再以15mL、0.25M的草酸鈉溶液滴定此溶液時,恰可使溶液的紫色完全褪色。請問合金中含錫的重量百分率為多少%?(原子量Fe=56,Sn=120)
(1)沉澱物的溶解度為多少M?
(2)沉澱物的KSP為多少?
(1)若滴定前pH=11,該鹼之為多少?
(2)當HCl加入10毫升時,其pH值為何?
(3)當溶液中的時,此時溶液的pH值為何?