題組內容
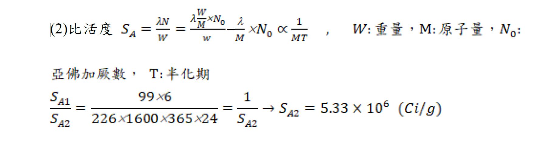
2. 已知
的半化期為 1600 年,原子量為 226,質量為 226.025403 amu,
的質量為 222.017571 amu,α粒子的質量為 4.002603 amu,試問:
(2)若
的比活度為 1 Ci/g,則
(半化期=6.0 h)的比活度為多少 Ci/g?
詳解 (共 1 筆)
哦八醬
詳解 #6224146
考選部解答
