阿摩線上測驗
登入
首頁
>
主題課程專用
>
無年度 - 主題課程_理工學院機率論:單一隨機變數#107935
> 申論題
題組內容
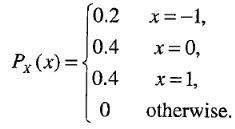
(20%) Discrete random variable X has probability mass function
Let B denote the event that X ≥0.
(2) (10%) Find the conditional variance of X given the event B.
相關申論題
Problem 22. (3.0 %) Suppose you play a matching coin game with your friend as follows. Both you and your friend have a coin. Fach time, you two reveal a side (i.e. H or T) of your coin to each other simultaneously. If the sides match, you WIN a 1 from your friend if sides do not match then you lose a 1 your friend. You decide to go with the following strategy. Every time, you will toss your unbiased coin independently of everything else, and you will reveal its outcome to your friend (your friend does not know the outcome of your random toss until you reveal it). Then, (i) On average, you will lose money to your smart friend (ii) On average, you will lose neither lose nor win. That is, your average gain/loss is 0. (iii) On average, you will make money from your friend
#462733
(一)求機率密度函數中的常數C。(5分)
#462735
(二)求P(X<4)(5分)
#462736
(1) (10%) Find conditional probability mass function of X given the event B.
#462737
(10%) Let X be a random variable with the following probability mass function (PMF): Let Y = . Find the cumulative distribution function (CDF) of Y.
#462739
a) (5%) Find the pdf of Y = aX+ b, where a ≠ 0 and b are real numbers.
#462740
b) (5%) Find the pdf of Z = |X].
#462741
a) (5%) Find the pdf of Y = aX + b, where a≠ 0 and b are real numbers.
#462742
b) (5%) Find the pdf of Z = |X|.
#462743
(a) (10%) Find the constant c.
#462744
相關試卷
無年度 - 主題課程_向量空間:秩(rank)、零度(nullity)、維度#108952
#108952
無年度 - 主題課程_向量空間:基底和維度#108872
#108872
無年度 - 主題課程_理工學院機率論:古典機率論#108850
#108850
無年度 - 主題課程_向量空間:線性獨立和線性相依#108250
#108250
無年度 - 主題課程_理工學院機率論:機率分配(離散型、連續型)#107979
#107979
無年度 - 主題課程_向量空間:向量空間和子空間#107951
#107951
無年度 - 主題課程_理工學院機率論:多元隨機變數#107950
#107950
無年度 - 主題課程_理工學院機率論:單一隨機變數#107935
#107935
無年度 - 主題課程_行列式和線性方程式:線性方程式#107934
#107934
無年度 - 主題課程_線性映射:基底變換和座標變換#107933
#107933