阿摩線上測驗
登入
首頁
>
教甄◆化學專業/化工科
>
113年 - 113 高雄市市立高級中等學校_聯合教師甄選試題:化學科#120227
> 申論題
題組內容
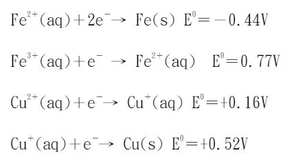
7. 已知以下標準還原電位:
(1)鐵銅電池放電時之全反應式:Fe(s)+Cu
2+
(aq) → Fe
2+
(aq)+Cu(s)。 計算鐵銅電池之標準電位差。(3 分)
(2) 承上題,若上述標準狀態下之鐵銅電池維持在 25℃下運作,但於鐵半 電池 加水,使電解液體積增加為原本的 10 倍,請計算此時該電池電位 差變為多高?(3 分)
相關申論題
(1)稀釋 A 溶液至 0.08 M 後,取此溶液 5 mL 與 B 溶液 5 mL 混合,此混合液試管高度為 7.0 cm 時,進行比色的標準液高度為 6.1 cm,則混合液中 的[FeSCN2+]為何?(2 分)
#511970
(2)根據前述步驟的實驗結果,可測得本反應的平衡常數為何?(2 分)
#511971
2. 指示劑 HIn 的解離常數 KIn=5.0×10-8,若此指示劑之酸型顏色為黃色, 鹼型為藍色,若以黃色之型存在者為藍色之 20 倍以上時,肉眼所見為黃色;反之,若以藍色之型存在者為黃色 2 倍以上時,則為藍色(肉眼所 見),則此指示劑之變色範圍為何?(3 分)
#511972
3. 今有 A、B、C 三容器,容積分別如圖 三所示。A 中盛有 27℃、2atm 的 HCl,B 中盛有 27℃、1atm 的 H2,C 中盛有 127℃、2atm 的 NH3。若打開活栓 X、Y,達平衡時整體氣體溫度為 87℃,容器 A 內壓力為多少 atm?(3 分)
#511973
4. 截面積為 5cm2的玻璃圓筒底面被半透膜包緊,筒內放入 0.02M 葡萄糖水,27℃時,放入如圖四的水底中固定, 今放入一個重量可忽略不計的木板浮在水面上,並在板上放置重物 W,結果一、二日後板子的高度完全沒有任 何變化。則 W 為多少 Kgw?(3 分)(1atm=1000gw/cm2)
#511974
5. 已知可見光波長介於 400~700nm。氫原子光譜中,某條譜線波長為 364.85nm,若依據波耳的能階理論推薦,該條譜線的成因是因為電子由 n =a 能階移動至 n=b 能階時所釋放的,求(a,b)。(3 分)
#511975
(1) 通過 965 安培之電流電解 500 秒,假設電流效率 100%,且水不蒸發,則電解後溶液之重量莫耳濃度為何?(2 分)
#511976
(2)電解後溶液之凝固點為何?(2 分)
#511977
(1)鐵銅電池放電時之全反應式:Fe(s)+Cu2+ (aq) → Fe 2+ (aq)+Cu(s)。 計算鐵銅電池之標準電位差。(3 分)
#511978
8. 在高中化學中,提及分子極性總是先討論共價鍵的偶極:由相同原子形成的共價鍵沒有鍵偶極,而不同原子形成的共價鍵則具鍵偶極,其鍵偶極以 向量表示,方向由帶部分正電荷(δ+)之原子指向帶部分負電荷(δ−) 之原子,向量長短則表示鍵偶極的大小。接著將鍵偶極以向量和的方式處 理,若向量和為零,則此分子屬於非極性分子;若向量和不為零,則為極 性分子。但是依照這樣的原則,臭氧(O3)分子中的共價鍵均不具鍵偶極,因此 O3應屬於非極性分子,但實際上O3卻具有分子極性,而礙於高中 生的背景知識無法合理說明,因此課本總是以特例說明之。若以你曾經學 過的化學理論,該如何解釋O3分子的極性。(4 分)
#511980
相關試卷
115年 - 115-2 國立新竹高中_教師甄試試題︰化學科#139244
115年 · #139244
115年 - 115-1 國立臺南第二高級中學_教師甄選試題:化學科#139240
115年 · #139240
115年 - 115-1 新北市立板橋高級中學_正式教師甄選試題︰化學科#139239
115年 · #139239
115年 - 115 臺北市立陽明高級中學正式教師甄選試題:高中化學科#139231
115年 · #139231
115年 - 115 新北市公立高級中等學校_教師聯合甄選試題:化學科#139222
115年 · #139222
115年 - 115-1 國立彰化女子高級中學_教師甄選試題:化學科#138717
115年 · #138717
115年 - 115-1 臺北市立明倫高級中學_教師甄選初試 ︰化學科#138716
115年 · #138716
115年 - 115 桃園市立陽明高中_教師甄選試題:化學科#138714
115年 · #138714
115年 - 115-1 臺北市立中崙高級中學_教師甄選試題︰化學科#138713
115年 · #138713
115年 - 115 國立宜蘭高級中等學校_教師甄選試題:化學科#138709
115年 · #138709