題組內容
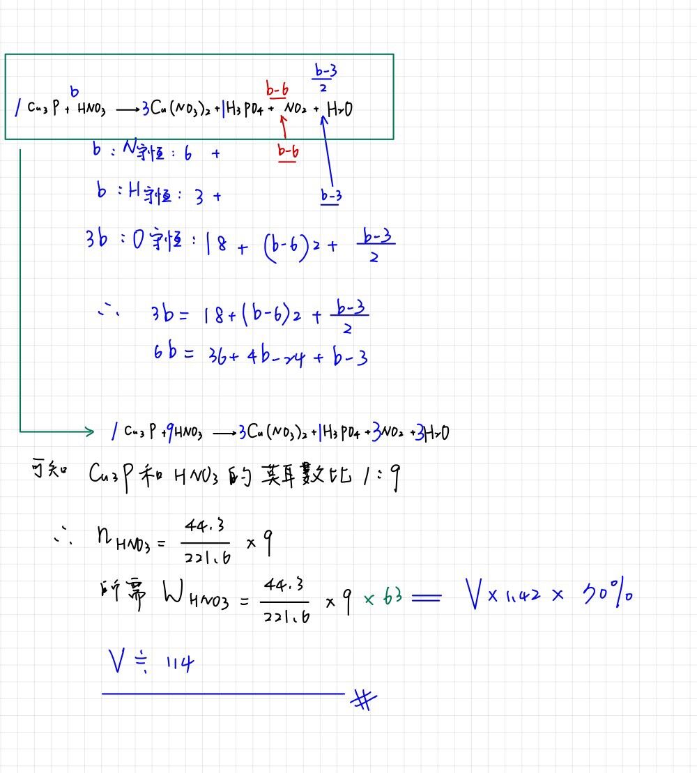
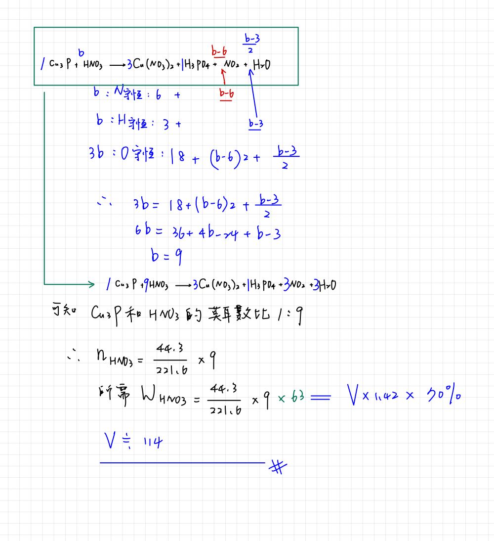
36. 已知有一反應 Cu3P+HNO3→Cu(NO3)2+H3PO4+NO2+H2O (係數未平衡),請回答下列問題。
(2) 若欲溶解 44.3 克之 Cu3P,需要 70%(比重 1.42)之硝酸水溶液多少毫升?(2 分)
詳解 (共 1 筆)
詳解


36. 已知有一反應 Cu3P+HNO3→Cu(NO3)2+H3PO4+NO2+H2O (係數未平衡),請回答下列問題。
(2) 若欲溶解 44.3 克之 Cu3P,需要 70%(比重 1.42)之硝酸水溶液多少毫升?(2 分)

