阿摩線上測驗
登入
首頁
>
中山◆資工◆作業系統與資料結構
>
105年 - 105 國立中山大學_碩士班招生考試_資工系(甲組):作業系統與資料結構#105820
> 申論題
題組內容
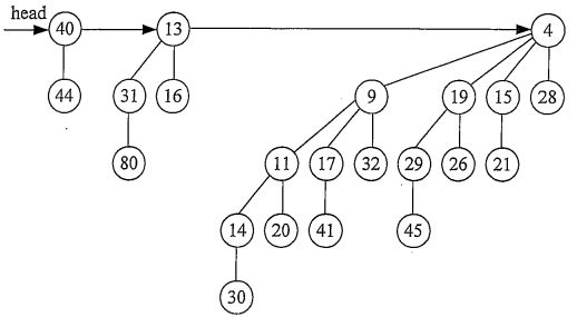
5.[Hash and Heap: ]
(2) Given a binomial heap below, please show the result of extracting the node with minimum key.
相關申論題
(1) What is the major property of a binary search tree?
#450829
(2) Given a set of numbers 8, 2, 7, 9, 14, 16, 3, 1, 4, and 10, draw the heap used by the heapsort method.
#450830
(3) Prove that the best-case complexity of the quicksort method is O(n 1gn).
#450831
(1) What are the two major properties of a tree?
#450832
(2) Prove that any red-black tree with k internal nodes can have a height no more than 21g(k+1).
#450833
(3) Explain three variants of a B-tree: B+-tree, B*-trce, and 2-3-4 tree.
#450834
(1) Starting from node E, give the sequence by bread-Tirst-search. If you have multiple choices, just follow the alphabetical order.
#450835
(2) Starting from node D, give the scquence by depth-first-scarch. If you have multiple choices, just follow the alphabetical order.
#450836
(3) Show the result by the Kruskal's algorithmn.
#450837
(4) Starting from node I, show the result by the Prim's algorithmn.
#450838
相關試卷
110年 - 110 國立中山大學_碩士班招生考試_資工系(甲組):作業系統與資料結構#104265
110年 · #104265
109年 - 109 國立中山大學_碩士班招生考試_資工系(甲組):作業系統與資料結構#105756
109年 · #105756
108年 - 108 國立中山大學_碩士班招生考試_資工系(甲組#105764
108年 · #105764
107年 - 107 國立中山大學_碩士班招生考試_資工系(甲組):作業系統與資料結構#105786
107年 · #105786
106年 - 106 國立中山大學_碩士班招生考試_資工系(甲組):作業系統與資料結構#105790
106年 · #105790
105年 - 105 國立中山大學_碩士班招生考試_資工系(甲組):作業系統與資料結構#105820
105年 · #105820
104年 - 104 國立中山大學_碩士班招生考試_資工系(甲組):作業系統與資料結構#105852
104年 · #105852
103年 - 103 國立中山大學_碩士班招生考試_資工系(甲組):作業系統與資料結構#105840
103年 · #105840
102年 - 102 國立中山大學_碩士班招生考試_資工系(甲組):作業系統與資料結構#105882
102年 · #105882
101年 - 101 國立中山大學_碩士班招生考試_資工系(甲組):作業系統與資料結構#105907
101年 · #105907